月光族指这么一群人,一月花光一月的工资,每个月都没有剩余工资。月光族大多是尚未结婚的青年单身人群,没有来自家庭方面的压力,消费观念是挣多少用多少,吃光用光,身体健康,这是一种极其不好的消费观。
我有一个堂哥,便是月光族之典范。我堂哥2009年左右就业的,距今已就业七、八年了,但是依旧如当初没钱。我堂哥是普通工薪阶段,算上加班费之类的,那时每月工资拿到手能有3500多块钱。
每月3500多块钱的工资不算多,但倘若有心存钱,每月还是能攒下一点钱的。但是呢,我堂哥是月光一族,每月工资发下来之后,便是各种买和吃,不到月底工资便就没了,就这样年复一年日复一日,从不考虑为自己存点儿积蓄。
前年即2015年的时候,我堂哥回家相了个对象,没多久两人便结婚了。结婚一年后,生了一个小孩。堂哥成家之后,特别是小孩子出生后,钱的问题便接踵而至,小孩子喝奶粉要钱,家庭各种支出要钱,然我堂哥除了每月的工资外,并无其它积蓄,因此日子过的相当拮据。
月光族月月光的消费观念是一种错误的消费观。只考虑了当前的享受,并未考虑未来的生活;只将眼光放在了当下,并未立足于长远。这不是一个正确的消费观,也不是一个明智的选择。
天有不测风云,人有旦夕祸福。人的一生中可能出现许多无法预知的事,因此我们在满足当前需求的同时,还需要为将来作些打算,为将来作打算,便就是平时多存一些钱,以备将来不时之需。
财富是一个逐渐积累的过程,像月光族这样月月光,怎么可能存得了钱。想要存钱想学理财,对月光族而言,首先需要做的就是,摒弃月月光这种错误的消费观。其次便是学会每月存钱,每月将工资的一定数额存起来。
随着时间的积累,存的钱逐渐会多起来。只要每月坚持存钱,不出几年,曾经的月光族,便不会在是月光族。不在是月光族之后,可以拿积累的部分积蓄试水收益较高的个人理财,以此来保证自己财富的增值。
对月光族而言,无论每月多少工资,无论是过三年还是五年,都存不了一分钱。假如不做月光族,每月3500多块钱的工资,每月能拿出1000块钱存起来,那么存七、八年后能有多少钱呢。
举个存款例子!假如一个人每月都能拿1000块钱投资,投资收益率为12%,投资满8年后能有多少钱?对一个好的投资而言,12%的收益率不算高。正常贷款公司的贷款利率均高于15%,风险不高的理财收益有12%的收益率。
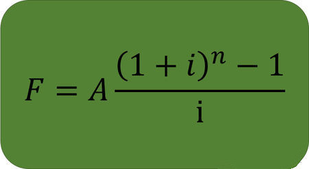
每月存固定金额,存一段时间,最后计算本利和,这种存款计息的计算方式称作求普通年金终值。设每年的收付金额为A,利率为i,期数为n,则按复利计算的普通年金终值F为:

图1-1:普通年金终值的计算公式
根据图1-1的普通年金终值公式,可计算出每月投资1000元,年投资收益率为12%,不间断连续投资8年后,到时能够拿到的本利和是多少钱。

图1-2:月投资1000块钱,投资收益率12%,投资8年时间,普通年金终值的计算结果。
由图1-2可知,假如一个人每月能投资1000块钱,他的投资收益率是12%,投资时间满8年后,他便会有近16万块钱。倘如在将16万做投资理财,一年便会有近2万块钱的利息收入。
投资利息是按复利计息的,也就是说计息的利息也会计算利息。就月收入3500多块钱的普通工薪族而言,只要不做月光族,只要肯坚持每月存钱,只要坚持存,到一定时间段能变富有。
对于每月只有工资收入,没有其它收入来源的工薪族而言,坚持每月一定数额的工资投资是一个非常好的理财方法,只要进行长时间的积累,便能逐渐摆脱工资月月光的困境,资本本身就是一个原始积累的过程。
也许有人会困惑,每月工资3500多钱,怎么存得了1000块钱,那还让人生活不。其实,对一个管吃管吃的普通工薪族而言,只要不乱花钱,每月省2000块钱也不成问题。
每月拿工资的一部分出来理财,这种方法对大多数普通工薪族而言,非常的实用,这种理财方法的难处在于坚持。对普通工薪族,特别是月光一族而言,树立工资理财的观念非常重要。
每月工资即使不多,但也能积少成多。牺牲一点当点享受,提早为将来做打算,对普通工资族而言,是一个非常明智的选择。不论将来发生什么,留一点钱以备不时只需总没有错。